Keywords

Gait variability, home monitoring, multiple sclerosis, symptoms

 

Authors

  1. Newland, Pamela PhD, RN, CMSRN

Abstract

Background and Purpose: Multiple sclerosis (MS) is a progressive neurological disorder, characterized by exacerbations and remissions, often resulting in disability affecting multiple neurological functions. The purpose of this article was (1) to describe the frequencies of self-reported symptoms in a natural environment and (2) to determine characteristics and associations between self-reported symptoms and home gait parameters (speed, stride time, and stride length) at baseline and at 3 months in patients with MS.

 

Methods: Participants completed the self-report MS-Related Symptom Scale to measure symptoms. A three-dimensional depth imaging system (Foresite Healthcare) was used to measure gait parameters in the home environment.

 

Results: These data show significant correlations between the following symptoms: knee locking or collapsing, difficulty sleeping, depression, and anxiety with decreased number of average walks per day; however, the symptoms including trouble-making toilet: day and difficulty in starting urine were positively correlated with average walks per day. The symptom numbness was significantly correlated with decreased speed and decreased stride length.

 

Discussion and Conclusions: Our findings suggest that certain groups of symptoms were more frequently reported with certain gait parameters (stride time/speed) in persons with MS. Rehabilitation nurses can provide optimal care to prevent future decline in symptoms and gait.

 

Article Content

Multiple sclerosis (MS) is a progressive neurological disorder, characterized by exacerbations and remissions, affecting mobility, balance, sensation, cognition, vision, mood, and bowel and bladder function (Disanto et al., 2010). The disease process involves demyelination of the central nervous system (Lassmann, 2013; Lucchinetti et al., 2011), axonal damage, and the formation of sclerotic plaques in the brain (e.g., cerebellum, brain stem), optic nerves (Balk et al., 2017), and spinal cord. Symptoms of MS vary from person to person and can fluctuate based on an individual's fatigue, heat exposure, intercurrent illness, medication use, and other factors (Powell, Liossi, Schlotz, & Moss-Morris, 2017). Worsening mobility has been strongly correlated with progression of MS (Balk et al., 2017; Burschka et al., 2012; Fritz & Lusardi, 2009) and risk for adverse outcomes including falls (Shahrbanian, Duquette, Kuspinar, & Mayo, 2015), reduced quality of life, and increased caregiver burden (Newland, Flick, Thomas, & Shannon, 2014).

 

Decreased mobility may lead to increased burden of other symptoms, such as bowel and bladder management (Zwibel, 2009), as well as increased likelihood of worsening disability. Although providers can assess problems with walking and other symptoms during routine clinic visits, such assessment may not represent an individual's "real-world" function, as they know they are being assessed. In addition, a clinic-based assessment is not representative of an individual's home environment and is usually limited to observation of short bursts of walking (i.e., 6-minute walk test, timed 25-foot walk; Bethoux & Bennett, 2011). To more clearly assess walking and other mobility, we need to assess multiple subjective symptoms, along with walking parameters, in real-time and "real-world" settings.

 

Currently, there is little evidence describing the interaction of MS symptoms (e.g., fatigue, depression, anxiety) and walking that involves continuous monitoring in a clinic or home environment ("Complex Symptoms and Mobility," 2014). In-home monitoring of walking ability combined with self-report of symptoms in persons with MS can address this gap and can allow for improved ability to assess variations in walking that may be missed during a one-time assessment in the clinic setting. Real-time and real-world capture of the relationship between subjective symptoms (e.g., fatigue, pain), variation in gait, and falls in the home environment may help providers optimize health outcomes for persons with MS (Burschka et al., 2012; Fritz & Lusardi, 2009; Shahrbanian et al., 2015). Longitudinal recording of patient-reported outcomes and characteristics via in-home sensors could offer clinical utility for selecting and adapting personalized rehabilitation interventions. The purpose of this article was (1) to describe the frequencies of self-report symptoms and (2) determine characteristics and associations among self-reported symptoms and home gait parameters.

 

Methods

Study Design and Sample

This was a pilot prospective study that underwent institutional review and approval. Participants were approached and recruited from a Midwest MS clinic. All participants who met inclusion criteria and volunteered for the study were asked to set up a time in our laboratory. The inclusion criteria are >=18 years of age, >30 days postrelapse to avoid including symptoms that may have been present or worse due to a relapse (Goodin et al., 2016), all MS subtypes (clinically isolated syndrome, relapsing-remitting, progressive), a score of 0-6.5 on the Self-Report Expanded Disability Status Scale (SR-EDSS), ability to speak and understand English, and home Internet service with at least a digital subscriber line speed.

 

Measures

Self-Report Expanded Disability Status Scale

This scale establishes the amount of disability based on walking ability and the need for an assistive device and is composed of 17 items that reflect the components of a physician-administered EDSS (Kurtzke, 1983). Scoring of the SR-EDSS ranges from 0 (normal neurological exam) to 10 (death due to MS). The SR-EDSS scores are highly correlated (r = .92) with the physician-assessed EDSS scores (Bowen, Gibbons, Gianas, & Kraft, 2001).

 

Timed Up and Go

This is an assessment commonly used to measure functional ability and determine fall risk with many populations, including persons with MS. The standard procedure for the Timed Up and Go (TUG) is the individual is asked to rise from a seated position, walk 3 m, turn at the end of the 3 m, return to the chair, and end in a seated position (Podsiadlo & Richardson, 1991). The TUG was measured at baseline using 7 m, instead of 3 m as listed above, to capture more gait cycles for descriptive purposes. In addition, sensors in the home will utilize a TUG algorithm previously established with these sensors and discussed further below.

 

MS-Related Symptom Scale

The MS-Related Symptom Scale (MS-RS; Gulick, 1989) consists of five factored subscales that correspond to the SR-EDSS functional systems (Kurtzke, 1983). They are Motor (arm weakness, leg weakness, spasms, tremors, knee locking or collapsing, balance problems, falling), Brainstem (double vision, blurred vision, difficulty swallowing, forgetfulness), Mental/Emotions (loneliness, depression, anxiety), Sensory (pain, burning sensation, numbness, pins and needles sensation), and Elimination (increased urine frequency: day, increased urine frequency: night, trouble-making toilet: day, trouble-making toilet: night). In the original model confirmation, fatigue was factored as a single symptom.

 

Participants rated the frequency of each symptom on a 6-point scale from 0 = never to 5 = always. The total MS-RS score ranges between 0 and 180, with a higher score indicating symptoms are more frequent.

 

Sensors in the Home

A three-dimensional infrared depth imaging system (Foresite Healthcare) has been developed to measure gait parameters in the home environment. This system has been validated in the lab and the home (Figure 1; Stone & Skubic, 2011, 2013; Stone, Skubic, Rantz, Abbott, & Miller, 2015). The details and validity of the system are described elsewhere (Newland, Wagner, et al., 2016; Stone & Skubic, 2011, 2013; Stone et al., 2015). The imaging system is mounted on the wall or a shelf in a common area of the participant's home. A tracking algorithm is used to identify gait parameters (stride time, stride length, speed) and average number of walking events (Stone et al., 2015) daily. The system estimates stride length, stride time, and walking speed by analyzing the motion of three-dimensional silhouettes. The system averages TUG, derived from the sensor technology, which was sent to the research team via password-protected website (for correlations, see previous study; Stone et al., 2015). The algorithm for the TUG averages was developed by using TUG in-laboratory measures to compare with measures produced by an algorithm based on average in-home gait speed data from the depth sensor. The sensor was available by lease at a low cost (Wang et al., 2013) that allows for translation to other populations (Rantz et al., 2013).

  
Figure 1 - Click to enlarge in new windowFigure 1. The integrated Foresite Healthcare data logger computer and depth sensor unit, sized at 5 x 7 x 3 in. mounted on a wall.

Procedure

Upon arrival in the laboratory, seven participants completed and signed an informed consent. Demographic data such as age, body mass index, time since MS diagnosis, and current medications were collected. Participants were then asked to complete the SR-EDSS. Participants then performed the 7m TUG while wearing wireless sensors to obtain baseline temporal and spatial gait parameters. Participants were given the MS-RS to take home, complete, and return the scale in a postage paid envelope. An in-home three-dimensional sensor was then installed in their own home environment to collect gait parameter data, with installation taking approximately 45 minutes. In-home monitoring was used to collect repeated temporal and spatial gait parameters, and self-reported rating of symptoms was collected (daily). As previously reported (Rantz et al., 2013), monthly laboratory TUG assessments were collected on subjects over a 2-year period and were compared to in-home sensory data that calculated average in-home gait speed, estimated from the depth sensor system on a moving average of 7 days. These data were used to learn a mapping of the average in-home gait speed to the TUG assessment. In this comparison, the TUG in-laboratory measures are used as the "gold standard" ground truth with the data from the depth sensor and radar technologies (Stone et al., 2015).

 

Analysis

Descriptive statistics were used to summarize sample characteristics. Continuous variables (sensor measures) were described using means and standard deviations (SDs) or median and the 25% and 75% percentiles, as appropriate. Categorical data were described using frequencies (percentages). Association of the MS-RS factors and sensor measures was assessed using Spearman correlations. Additional analysis used factors that were created by taking the average of the individual MS-RS item for each factor. Factors were composed of subscales of the MS-RS (e.g., Motor [arm weakness, leg weakness, spasms, tremors, knee locking or collapsing, balance problems, falling]) to identify single symptoms that contributed to each factor. All analyses were conducted in SAS v9.4.

 

Results

Sample Characteristics

A total of seven subjects with MS agreed to participate in this study. Descriptive statistics for demographic and disease-related variables, symptoms, and gait parameters from depth sensors are presented in Table 1. Participants were predominately White, non-Hispanic, female, and married. Participants tended to be highly educated, with the majority completing at least some college. Disease duration averaged 12 years, with the majority reporting SR-EDSS within intermediate disability range and a diagnosis of relapsing-remitting MS.

  
Table 1 - Click to enlarge in new windowTable 1 Participant demographic and clinical characteristics

The mean scores for the 26 symptoms within the subscales on the MS-RS that correlate with gait parameters of stride/speed/walks per day are presented in Table 2. These data show a negative correlation between increased numbness sensory symptoms and both decreased walking speed (p = .04) and decreased stride length (p = .04). Mental symptoms of depression and anxiety together with the motor symptom knee collapsing was negatively related to average walks per day (p = .01, .02, .04), respectively. However, positive correlations were shown between the brain stem symptom and sleep difficulty, along with the elimination difficulties of time spent toileting during the day and initiating urination, with increased average walks per day (p = .02, .01, -03), respectively.

  
Table 2 - Click to enlarge in new windowTable 2 Spearman correlations for symptoms in patients with RRMS

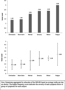
Symptoms aggregated by subscales of the MS-RS, along with average walks per day, are shown in Figure 2. These analyses revealed motor symptom of leg weakness (mean = 3.3, SD = 1.1); urinary, sensory (numbness), and fatigue were reported at higher frequencies in three participants (Participants 3, 4, and 6). The higher score indicates the severity of each symptom factor or group of symptoms for each subject.

  
Figure 2 - Click to enlarge in new windowFigure 2. Factors and fatigue levels for patients with multiple sclerosis (

Discussion

Preliminary data from this pilot study provide evidence that certain groups of symptoms that were more frequently reported were correlated with certain gait parameters in patients with MS (Balantrapu, Sandroff, Sosnoff, & Motl, 2012; Hartoonian et al., 2015; Karpatkin & Rzetelny, 2012). To our knowledge, this is the first study within the United States to objectively measure in-home gait using a depth sensor and associations with self-reported groups of symptoms. Our findings concur with others that sensory symptoms (i.e., numbness) and mental symptoms are associated with gait parameters (speed/stride time; Glanz et al., 2012). Our findings differ from a previous study (Motl et al., 2014) in which finding correlations of symptoms and gait using in-home depth sensors in a longitudinal study to assess gait. Future studies utilizing in-home sensor assessment and symptom measurement should consider incorporating magnetic resonance imaging findings to identify if magnetic resonance imaging findings correlate to symptoms and functional mobility changes.

 

This study, as well as other works, indicate that fatigue is a common symptom reported by persons with MS. Given that fatigue was a frequently reported symptom but was not associated with gait problems in our study, further understanding of fatigue is key to address the important symptom of fatigue. Certain underlying physiological mechanisms by which fatigue may exacerbate other MS symptoms are still unclear. Therefore, additional research is needed to understand and manage fatigue at its origin (Newland, Starkweather, & Sorenson, 2016).

 

This study suggests that patients with MS have significant problems with gait speed, stride length, and average walks per day and that there is a link to a group of several symptoms that could further impede their movement. Given the negative effects of inactivity among persons with MS, inactivity could be related to further risk for complications of a sedentary lifestyle such as obesity and hypertension. Sensory deficits, such as numbness and vibratory sense, are a known impairment for persons with MS and have been identified as reasons for impaired balance and are included as variables in the EDSS (Kurtzke, 1983). A recent longitudinal study (Zackowski, Wang, McGready, Calabresi, & Newsome, 2015) found that strength and sensory impairments correlated with ambulation and disability measures. However, additional work is needed to determine how much of ambulation decline is due to sensory impairments. The symptom "trouble-making the toilet: day" may be associated with more walks per day due to the individual attempting to avoid urinary or bowel incontinence. Thus, it is important to implement individualized intervention programs aimed at improving bowel and bladder control and reducing disability in persons with MS.

 

Some studies have shown a correlation between increased fatigue and increased level of disability in patients with MS who experience gait problems (Glanz et al., 2012; Motta et al., 2016). Sensory and weakness (Motor) problems are complex and multifactorial, and therefore, identification of frequency and presence of these symptoms will allow for early and individualized intervention.

 

Implications for Practice

Gait changes that correlate with symptoms such as leg weakness, depression, and elimination problems can be an early indicator of other adverse outcomes in patients with MS. Using in-home gait monitoring that correlates with reported symptoms has potential to provide information to rehabilitation nurses, other healthcare providers, as well as the patients with MS. Implications for practice also include identification of patients with MS who may benefit from early referral to rehabilitation specialists, such as physical and occupational therapy, to develop individualized interventions to address gait changes that lead to progression of disability associated with MS over time. Rehabilitation and other healthcare providers should assess and closely monitor changes in depression, anxiety, and walking changes, such as walking less, more slowly, or take shorter steps, in patients with MS. This study also supports the need for early interventions to manage emotional issues and bladder/bowel issues as a preventative measure to slow increases in disability.

 

Limitations

Our study had a small sample size, which limits our results from being generalized to patients with MS. However, despite our small sample size, our results concur with previous gait studies related to symptoms and gait in patients with MS. The present study consisted of MS patients who had been diagnosed for 10 years or more, which may have skewed our results toward individuals experiencing more frequent and more severe symptoms. A limitation of the depth-sensing system is that depth images can be reliably processed for a room about 20 ft in depth, so positioning is important to get a nearly complete view of the room. Large spaces require careful placement of multiple depth sensors when attempting to do automated fall detection in a larger environment. Another limitation could be the placement of the sensor in the main living space, which might miss gait activity and movement. The ghost-like depth images protect privacy and are acceptable to persons with MS; however, in the home, it can be challenging to place the device in the best paths for gait data collection and where most steps for average walks are likely to occur (Rantz et al., 2015). In addition, persons with MS may have changed their walking because they knew they were being monitored. However, this effect is unlikely to be sustained in everyday life with the sensor in place where the person frequently walks for a period of several weeks or months.

 

Conclusion

This pilot work provides data supporting the relationship between changes in symptoms and gait parameters in a small sample of persons with MS. We encourage future longitudinal and experimental investigations of symptoms and gait with implications for preventing or slowing worsening disability in persons with MS. Such investigations will provide rehabilitation nurses with information to provide targeted optimal care and advocate for early referral to other rehabilitation specialists.

 

Conflict of Interest

The authors declare no conflict of interest.

 

Funding

This pilot study was funded by the Consortium of Multiple Sclerosis Centers (CMSC). REDCap is supported by Clinical and Translational Science Award Grant UL1 TR000448 and Siteman Comprehensive Cancer Center and NCI Cancer Center Support Grant P30 CA091842.

 

Key Practice Points

 

* Gait variability and falls are common problems for persons with MS.

 

* Monitoring with a sensor system is a feasible strategy for gait parameter and symptoms.

 

* Evidence that gait sensors may contribute to more accurate early prediction of gait problems in rehabilitation settings for patients with MS.

 

Acknowledgment

The authors are grateful to Foresite Healthcare for providing, installing, and managing the sensors enabling this study.

 

References

 

Balantrapu S., Sandroff B. M., Sosnoff J. J., & Motl R. W. (2012). Perceived impact of spasticity is associated with spatial and temporal parameters of gait in multiple sclerosis. ISRN Neurology, 2012, 675431. doi:10.5402/2012/675431 [Context Link]

 

Balk L. J., Coric D., Nij Bijvank J. A., Killestein J., Uitdehaag B. M., & Petzold A. (2017). Retinal atrophy in relation to visual functioning and vision-related quality of life in patients with multiple sclerosis. Multiple Sclerosis, 24(6), 767-776. doi:10.1177/1352458517708463 [Epub ahead of print] [Context Link]

 

Bethoux F., & Bennett S. (2011). Evaluating walking in patients with multiple sclerosis: Which assessment tools are useful in clinical practice? International Journal of Multiple Sclerosis Care, 13(1), 4-14. doi:10.7224/1537-2073-13.1.4 [Context Link]

 

Bowen J., Gibbons L., Gianas A., & Kraft G. H. (2001). Self-administered Expanded Disability Status Scale with functional system scores correlates well with a physician-administered test. Multiple Sclerosis, 7(3), 201-206. [Context Link]

 

Burschka J. M., Keune P. M., Menge U., Hofstadt-van Oy U., Oschmann P., & Hoos O. (2012). An exploration of impaired walking dynamics and fatigue in multiple sclerosis. BMC Neurology, 12, 161. doi:10.1186/1471-2377-12-161 [Context Link]

 

Complex Symptoms and Mobility in Multiple Sclerosis (2014). Supplemental material. International Journal of MS Care, 16(S1), i-40. doi:10.7224/1537-2073-16. S1.1 [Context Link]

 

Disanto G., Berlanga A. J., Handel A. E., Para A. E., Burrell A. M., Fries A., [horizontal ellipsis] Morahan J. M. (2010). Heterogeneity in multiple sclerosis: Scratching the surface of a complex disease. Autoimmune Diseases, 2011, 932351. doi:10.4061/2011/932351 [Context Link]

 

Fritz S., & Lusardi M. (2009). White paper: "Walking speed: The sixth vital sign.". Journal of Geriatric Physical Therapy, 32(2), 46-49. [Context Link]

 

Glanz B. I., Degano I. R., Rintell D. J., Chitnis T., Weiner H. L., & Healy B. C. (2012). Work productivity in relapsing multiple sclerosis: Associations with disability, depression, fatigue, anxiety, cognition, and health-related quality of life. Value in Health, 15(8), 1029-1035. doi:10.1016/j.jval.2012.07.010 [Context Link]

 

Goodin D. S., Reder A. T., Bermel R. A., Cutter G. R., Fox R. J., John G. R., [horizontal ellipsis] Waubant E. (2016). Relapses in multiple sclerosis: Relationship to disability. Multiple Sclerosis and Related Disorders, 6, 10-20. doi:10.1016/j.msard.2015.09.002 [Context Link]

 

Gulick E. E. (1989). Model confirmation of the MS-related symptom checklist. Nursing Research, 38(3), 147-153. [Context Link]

 

Hartoonian N., Terrill A. L., Beier M. L., Turner A. P., Day M. A., & Alschuler K. N. (2015). Predictors of anxiety in multiple sclerosis. Rehabilation Psychology, 60(1), 91-98. doi:10.1037/rep0000019 [Context Link]

 

Karpatkin H., & Rzetelny A. (2012). Effect of a single bout of intermittent versus continuous walking on perceptions of fatigue in people with multiple sclerosis. International Journal of MS Care, 14(3), 124-131. doi:10.7224/1537-2073-14.3.124 [Context Link]

 

Kurtzke J. F. (1983). Rating neurologic impairment in multiple sclerosis: An Expanded Disability Status Scale (EDSS). Neurology, 33(11), 1444-1452. [Context Link]

 

Lassmann H. (2013). Pathology and disease mechanisms in different stages of multiple sclerosis. Journal of the Neurological Sciences, 333(1-2), 1-4. doi:10.1016/j.jns.2013.05.010 [Context Link]

 

Lucchinetti C. F., Popescu B. F., Bunyan R. F., Moll N. M., Roemer S. F., Lassmann H., [horizontal ellipsis] Ransohoff R. M. (2011). Inflammatory cortical demyelination in early multiple sclerosis. New England Journal of Medicine, 365(23), 2188-2197. doi:10.1056/NEJMoa1100648 [Context Link]

 

Motl R. W., Sosnoff J. J., Dlugonski D., Pilutti L. A., Klaren R., & Sandroff B. M. (2014). Walking and cognition, but not symptoms, correlate with dual task cost of walking in multiple sclerosis. Gait and Posture, 39(3), 870-874. doi:10.1016/j.gaitpost.2013.11.023 [Context Link]

 

Motta C., Palermo E., Studer V., Germanotta M., Germani G., Centonze D., [horizontal ellipsis] Rossi S. (2016). Disability and fatigue can be objectively measured in multiple sclerosis. PLoS One, 11(2), e0148997. doi:10.1371/journal.pone.0148997 [Context Link]

 

Newland P., Flick L. H., Thomas F. P., & Shannon W. D. (2014). Identifying symptom co-occurrence in persons with multiple sclerosis. Clinical Nursing Research, 23(5), 529-543. doi:10.1177/1054773813497221 [Context Link]

 

Newland P., Starkweather A., & Sorenson M. (2016). Central fatigue in multiple sclerosis: A review of the literature. The Journal of Spinal Cord Medicine, 39(4), 386-399. doi:10.1080/10790268.2016.1168587 [Context Link]

 

Newland P., Wagner J. M., Salter A., Thomas F. P., Skubic M., & Rantz M. (2016). Exploring the feasibility and acceptability of sensor monitoring of gait and falls in the homes of persons with multiple sclerosis. Gait & Posture, 49, 277-282. doi:10.1016/j.gaitpost.2016.07.005 [Context Link]

 

Podsiadlo D., & Richardson S. (1991). The timed "Up & Go": A test of basic functional mobility for frail elderly persons. Journal of the American Geriatrics Society, 39(2), 142-148. [Context Link]

 

Powell D. J. H., Liossi C., Schlotz W., & Moss-Morris R. (2017). Tracking daily fatigue fluctuations in multiple sclerosis: Ecological momentary assessment provides unique insights. Journal of Behavioral Medicine, 40(5), 772-783. doi:10.1007/s10865-017-9840-4 [Context Link]

 

Rantz M. J., Skubic M., Abbott C., Galambos C., Pak Y., Ho D. K. C., [horizontal ellipsis] Miller S. J. (2013). Automated technology for in-home fall risk assessment and detection sensor system. Journal of Gerontological Nursing, 39(7), S78-S87. doi:10.3928/00989134-20130503-01 [Context Link]

 

Shahrbanian S., Duquette P., Kuspinar A., Mayo N. E. (2015). Contribution of symptom clusters to multiple sclerosis consequences. Quality of Life Research, 24(3), 617-629. doi:10.1007/s11136-014-0804-7 [Context Link]

 

Stone E., & Skubic M. (2011). Evaluation of an inexpensive depth camera for in-home gait assessment. JAISE, 3(4), 349-361. [Context Link]

 

Stone E., & Skubic M. (2013). Unobtrusive, continuous, in-home gait measurement using the Microsoft Kinect. IEEE Transactions on Biomedical Engineering, 60(10), 2925-2932. doi:10.1109/TBME.2013.2266341 [Context Link]

 

Stone E., Skubic M., Rantz M., Abbott C., & Miller S. (2015). Average in-home gait speed: Investigation of a new metric for mobility and fall risk assessment of elders. Gait and Posture, 41, 57-62. doi:10.1016/j.gaitpost.2014.08.019 [Context Link]

 

Wang F., Stone E., Skubic M., Keller J. M., Abbott C., & Rantz M. (2013). Toward a passive low-cost in-home gait assessment system for older adults. IEEE Journal of Biomedical and Health Informatics, 17(2), 346-355. doi:10.1109/JBHI.2012.2233745 [Context Link]

 

Zackowski K. M., Wang J. I., McGready J., Calabresi P. A., & Newsome S. D. (2015). Quantitative sensory and motor measures detect change overtime and correlate with walking speed in individuals with multiple sclerosis. Multiple Sclerosis and Related Disorders, 4(1), 67-74. [Context Link]

 

Zwibel H. L. (2009). Contribution of impaired mobility and general symptoms to the burden of multiple sclerosis. Advances in Therapy, 26(12), 1043-1057. doi:10.1007/s12325-009-0082-x [Context Link]